切换至 "中华医学电子期刊资源库"
论著

BI-RADS 4类结节患者的乳腺癌风险预测模型

  • 余晓青 1 ,
  • 高欣 1 ,
  • 罗文培 1 ,
  • 杨露 , 1,
展开
  • 1.40010 重庆医科大学附属第二医院乳腺甲状腺外科
通信作者:杨露,Email:

收稿日期: 2024-02-06

  网络出版日期: 2024-08-20

基金资助

重庆市自然科学基金面上项目(CSTB2024NSCQ-MSX0331)

版权

未经授权,不得转载、摘编本刊文章,不得使用本刊的版式设计,除非特别声明,本刊刊出的所有文章不代表中华医学会和本刊编委会的观点。本刊为电子期刊,以网刊形式出版。

Breast cancer risk prediction model for patients with BI-RADS 4 nodules

  • Xiaoqing Yu 1 ,
  • Xin Gao 1 ,
  • Wenpei Luo 1 ,
  • Lu Yang , 1,
Expand
  • 1.Department of Breast and Thyroid Surgery, Second Affiliated Hospital of Chongqing Medical University, Chongqing 400010, China
Corresponding author: Yang Lu, Email:

Received date: 2024-02-06

  Online published: 2024-08-20

Copyright

Copyright by Chinese Medical Association No content published by the journals of Chinese Medical Association may be reproduced or abridged without authorization. Please do not use or copy the layout and design of the journals without permission. All articles published represent the opinions of the authors, and do not reflect the official policy of the Chinese Medical Association or the Editorial Board, unless this is clearly specified.

摘要

目的

利用乳腺成像报告和数据系统(BI-RADS)4类结节的临床和超声数据,开发和验证一种乳腺癌风险预测模型。

方法

回顾性分析2017年1月至2018年12月在重庆医科大学附属第二医院就诊的338例患者的377个BI-RADS 4类乳腺结节临床资料。按照7∶3的比例随机将入组的BI-RADS 4类结节分为训练组和验证组。采用单因素Logistic回归和多因素Logistic逐步回归分析,最终确定一组乳腺癌风险独立预测因素的变量组合,创建列线图预测模型。利用受试者操作特征(ROC)曲线和校准曲线来评价列线图模型的性能。使用Hosmer-Lemeshow检验检测列线图模型的拟合度。采用临床决策曲线(DCA)评估该模型的临床预测效能。

结果

338例患者的377个BI-RADS 4类结节(202个良性和175个恶性),分为训练组263个,验证组114个。年龄(OR =1.06,95%CI:1.03~1.08,P<0.001)、边界(OR=2.22,95%CI:1.19~4.13,P=0.012)、形态(OR=1.96,95%CI:1.01~3.77,P=0.045)、钙化(OR =2.43,95%CI:1.35~4.36,P=0.003)、结节最大直径(OR =1.93,95%CI:1.38~2.69,P<0.001)和内部血流(OR=1.95,95%CI:1.08~3.51,P=0.026)是乳腺癌的独立预测因素。训练组和验证组通过列线图画出的ROC曲线下面积(AUC)分别为0.807(95%CI:0.755~0.858)和0.837(95%CI:0.764~0.910)。列线图预测模型具有良好拟合度(训练组:P=0.656;验证组:P=0.502);校准曲线表明列线图模型与实际观测结果有较好的一致性。DCA显示示当阈值概率大于0.1时,该模型预测净获益值较高。

结论

基于临床和超声特征建立的列线图模型可以准确预测BI-RADS 4类结节乳腺癌风险,从而减少不必要手术活组织检查。

本文引用格式

余晓青 , 高欣 , 罗文培 , 杨露 . BI-RADS 4类结节患者的乳腺癌风险预测模型[J]. 中华乳腺病杂志(电子版), 2024 , 18(04) : 217 -223 . DOI: 10.3877/cma.j.issn.1674-0807.2024.04.005

Abstract

Objective

To develop and validate a breast cancer risk prediction model using clinical and ultrasound imaging data of the patients with the Breast Imaging-Reporting and Data System (BI-RADS) 4 nodules.

Methods

A retrospective analysis was conducted on the clinical data of 377 breast nodules of BI-RADS 4 from 338 patients who were treated in the Second Affiliated Hospital of Chongqing Medical University between January 2017 and December 2018. The nodules were randomly divided into the training group and the validation group at the ratio of 7∶3. Univariate and multivariate logistic step-wise regression analyses were used to identify a combination of variables that were independent predictive factors for breast cancer, and then nomogram prediction was constructed. The performance of the nomogram model was evaluated using the receiver operating characteristic (ROC) and calibration curves. The Hosmer-Lemeshow test was used to assess the goodness-of-fit of the nomogram model, and the clinical decision curve analysis (DCA) was used to evaluate the clinical predictive efficacy of the model.

Results

The study included 377 BI-RADS 4 nodules (202 benign and 175 malignant) from 338 patients. All nodules were divided into two groups: training group (263 nodules) and validation group (114 groups). Age (OR=1.06, 95%CI: 1.03-1.08, P< 0.001), margins (OR=2.22, 95%CI: 1.19-4.13, P=0.012), shape (OR=1.96, 95%CI: 1.01-3.77, P=0.045), calcification (OR=2.43, 95%CI: 1.35-4.36, P=0.003), maximum diameter of the nodule (OR=1.93, 95%CI: 1.38-2.69, P<0.001) and internal blood flow (OR=1.95, 95%CI: 1.08-3.51, P=0.026) were independent predictive factors for breast cancer. The area under the ROC curve for the nomogram was 0.807 (95%CI: 0.755-0.858) in the training group and 0.837 (95%CI: 0.764-0.910) in the validation group. The nomogram prediction model showed a good fit (training group: P=0.656; validation group: P=0.502), and the calibration curve indicated a good consistency between the nomogram and the actual observation. The DCA showed higher net benefit for the model when the threshold probability was greater than 0.1.

Conclusion

The nomogram model based on clinical and ultrasound features can accurately predict the risk of breast cancer in the patients with BI-RADS 4 nodules, thereby reducing unnecessary surgical biopsies.

乳腺癌的发病率逐年升高,严重危害女性健康[1]。乳腺癌检出率的提高与超声和乳腺X线等技术在体检中的广泛应用密切相关[2]。超声因其高准确率、无辐射、经济便利等优势,在国内医疗机构,尤其是基层医疗机构中广泛用于乳腺癌筛查[3]。美国放射学学会(American College of Radiology, ACR)制定的乳腺影像报告与数据系统(Breast Imaging Reporting and Data System, BI-RADS)已广泛用于评估乳腺结节的恶性风险[4]。BI-RADS 4类结节存在一定的乳腺癌风险,其风险概率分布范围宽,达到2%~95%[5]。虽然依据超声特征,BI-RADS 4类结节进一步分为A、B、C 3个不同的风险层级,但其分层标准仅限于影像表现,各超声特征所占权重不同,仅靠超声特征的数量叠加,分层方法不够精细。因此,该风险预测模式的准确性仍需进一步优化。基于其乳腺癌高风险性,临床医师通常会建议BI-RADS 4类结节患者进行手术或穿刺明确诊断,然而这些有创操作可能会导致出血、血肿、感染等并发症,给患者带来一定的痛苦和经济负担[6,7]。因此,通过易于获取的临床和超声特征,建立一个更准确的乳腺癌风险预测模型具有重要的临床意义。

资料与方法

一、一般资料

按照以下纳入和排除标准,回顾性分析2017年1月至2018年12月在重庆医科大学附属第二医院就诊的338例患者(包括377个BI-RADS 4类乳腺结节)临床资料。入组标准:(1)女性患者;(2)均接受经验丰富的超声科医师乳腺超声检查,且BI-RADS分类为4类(包括4A、4B和4C);(3)均通过穿刺或手术活组织检查取得了组织病理学检查结果。排除标准:(1)怀孕或哺乳期患者;(2)基本信息、超声或病理检查数据不完整患者;(3)具有同侧乳腺手术或活组织检查史患者。
收集的指标有:(1)患者年龄;(2)是否绝经;(3)左或右侧乳房;(4)乳腺结节部位(中央、内上、内下、外上和外下);(5)结节最大直径;(6)形态(规则或不规则);(7)方位(平行或非平行);(8)边界(清晰或不清晰);(9)内部回声(等回声、低回声、高回声和混合回声);(10)后方回声(有或无声影以及回声增强);(11)钙化(无或有);(12)内部血流信号(无或有)。

二、预测模型的构建

按照7∶3的比例随机将377个BI-RADS 4类结节分为训练组(263个)和验证组(114个)。对训练组BI-RADS 4类结节的上述12个变量进行单因素Logistic回归分析,将具有统计学意义(P<0.050)的变量纳入多因素Logistic逐步回归分析,最终确定一组对乳腺癌风险具有独立预测因素的变量组合,创建列线图预测模型,用于预测罹患乳腺癌的风险。

三、统计分析

采用SPSS 26.0软件进行数据分析。年龄、结节最大直径为计量资料,以±s表示,训练组和验证组的组间比较采用t检验。其余变量为计数资料,采用频数(构成比)表示,组间比较采用χ2检验。采用R软件(版本4.1.0;https://www.r-project.org/)进行单因素Logistic回归分析和多因素Logistic逐步回归分析,变量赋值表见表1。采用R软件的rms包构建列线图预测模型。利用受试者操作特征(receiver operating characteristic,ROC)曲线和校准曲线来评价列线图模型的性能。使用Hosmer-Lemeshow检验检测列线图模型的拟合度。采用临床决策曲线(decisoin curve analysis,DCA)评估该模型的临床预测效能。以P<0.050为差异具有统计学意义。
表1 变量赋值表
变量 变量类型 赋值
边界 X1 清晰=1;不清晰=2
形态 X2 规则=1;不规则=2
钙化 X3 无=1;有=2
内部血流 X4 无=1;有=2
绝经状态 X5 否=1;是=2
方位 X6 平行=1;非平行=2
偏侧性 X7 左侧=1;右侧=2
后方回声 X8 无=1;有=2;增强=3
原发部位 X9 内上=1;内下=2;外上=3;外下=4;中央=5
内部回声 X10 等回声=1;低回声=2;高回声=3;混合回声=4
结节性质 Y 良性=0;恶性=1

结果

一、患者特征

符合入组条件的338例患者,年龄为(49.5±12.9)岁,范围为17.0~87.0岁。共检出377个BI-RADS 4类结节,其中202个为良性,175个为恶性。训练组良性结节占比51.7%(136/263),乳腺癌占比48.3%(127/263);验证组良性占比57.8%(66/114),乳腺癌占比42.2%(48/114)。2组患者在各指标的基线资料比较,差异无统计学意义(表2)。
表2 训练组和验证组BI-RADS 4类结节的基线特征比较[个(%)]
特征 训练组(263个) 验证组(114个) 检验值 P
年龄(岁,±s) 50.0±13.1 48.2±12.3 t=1.228 0.220
边界        
清晰 121(46.0) 49(43.0) χ2=0.294 0.588
不清晰 142(54.0) 65(57.0)
形态        
规则 105(39.9) 41(36.0) χ2=0.525 0.469
不规则 158(60.1) 73(64.0)
钙化        
137(52.1) 71(62.3) χ2=3.339 0.068
126(47.9) 43(37.7)
结节最大直径(cm,±s) 1.80±0.97 1.93±1.34 t=-0.951 0.343
内部血流        
144(54.8) 54(47.4) χ2=1.739 0.187
119(45.2) 60(52.6)
绝经状态        
154(58.6) 68(59.6) χ2=0.039 0.843
109(41.4) 46(40.4)
方位        
平行 242(92.0) 107(93.9) χ2=0.394 0.530
非平行 21(8.0) 7(6.1)
偏侧性        
左侧 136(51.7) 65(57.0) χ2=0.900 0.343
右侧 127(48.3) 49(43.0)
后方回声        
无声影 227(86.3) 102(89.5) χ2=2.428 0.297
有声影 26(9.9) 11(9.6)
增强 10(3.8) 1(0.9)
部位        
内上 75(28.5) 21(18.4) χ2=7.314 0.120
内下 15(5.7) 11(9.6)
外上 114(43.3) 54(47.4)
外下 46(17.6) 18(15.8)
中央 13(4.9) 10(8.8)
内部回声        
等回声 5(1.9) 5(4.4) χ2=4.774 0.189
低回声 239(90.9) 99(86.8)
高回声 7(2.7) 1(0.9)
混合回声 12(4.5) 9(7.9)

二、Logistic回归分析结果

单因素Logistic回归分析结果显示年龄、边界、形态、钙化、结节最大直径、内部血流、绝经状态这7个变量对诊断乳腺癌有统计学意义,是潜在的预测因素。对这的7个变量进行了多因素Logistic逐步回归分析,结果显示年龄(OR=1.06,95%CI:1.03~1.08,P< 0.001)、边界(OR=2.22,95%CI:1.19~4.13,P=0.012)、形态(OR=1.96,95%CI:1.01~3.77,P=0.045)、钙化(OR=2.43,95%CI:1.35~4.36,P=0.003)、结节最大直径(OR=1.93,95%CI:1.38~2.69,P< 0.001)和内部血流(OR=1.95,95%CI:1.08~3.51,P=0.026)是诊断乳腺癌的独立预测因素(表3表4)。
表3 训练组BI-RADS 4类结节乳腺癌发生风险的单因素Logistic回归分析
变量 Wald β OR 95%置信区间 P
年龄 25.30 0.06 1.06 1.03~1.08 <0.001
边界 22.37 1.23 3.43 2.06~5.70 <0.001
形态 15.29 1.03 2.79 1.67~4.66 <0.001
钙化 10.43 0.81 2.26 1.38~3.70 0.001
结节最大直径 16.56 0.62 1.87 1.38~2.52 <0.001
内部血流 12.74 0.91 2.48 1.51~4.08 <0.001
绝经状态 12.67 0.92 2.50 1.51~4.14 <0.001
方位 1.66 0.60 1.82 0.73~4.56 0.198
偏侧性 0.44 0.16 1.18 0.73~1.91 0.509
后方回声(与无声影比较)          
有声影 1.21 0.46 1.58 0.70~3.60 0.272
增强 2.02 1.00 2.71 0.68~10.75 0.156
原发部位(与内上比较)          
内下 0.01 0.05 1.06 0.35~3.21 0.925
外上 0.74 0.26 1.29 0.72~2.32 0.388
外下 0.001 0.01 1.01 0.48~2.12 0.973
中央 0.003 0.03 1.03 0.32~3.37 0.956
内部回声(与等回声比较)          
低回声 0.001 15.56 650.87 a 0.981
高回声 0.001 14.65 650.87 a 0.982
混合回声 0.001 15.57 650.87 a 0.981

注:a样本量太小导致估计值不稳定,无法给出一个有意义的上限;OR为比值比

表4 训练组BI-RADS 4类结节乳腺癌发生风险的多因素Logistic逐步回归分析
变量 Wald β OR 95%置信区间 P
年龄 25.00 0.05 1.06 1.03~1.08 <0.001
边界 6.30 0.80 2.22 1.19~4.13 0.012
形态 4.00 0.67 1.96 1.01~3.77 0.045
钙化 8.82 0.89 2.43 1.35~4.36 0.003
结节最大直径 14.98 0.66 1.93 1.38~2.69 <0.001
内部血流 4.93 0.67 1.95 1.08~3.51 0.026

注:OR为比值比

三、列线图预测模型的建立及验证

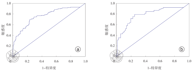
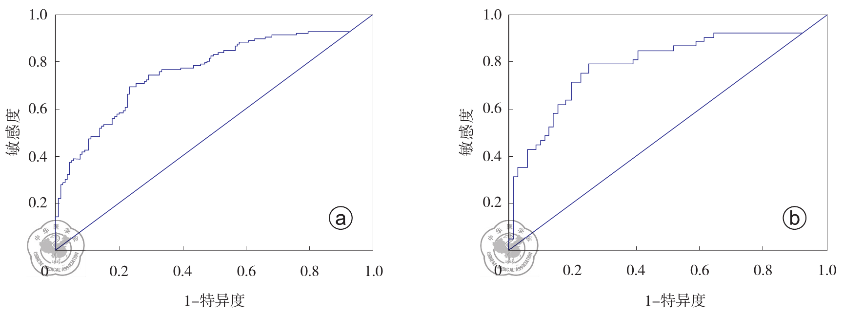
基于多因素Logistic逐步回归分析结果,建立了一个用于预测BI-RADS 4类结节的乳腺癌风险预测模型(图1)。通过训练组和验证组的ROC进一步评估该预测模型的性能(图2)。训练组预测乳腺癌的曲线下面积(area under curve, AUC)为0.807(95%CI: 0.755~0.858),验证组的AUC为0.837(95%CI: 0.764~0.910)。Hosmer-Lemeshow检验检测列线图模型的拟合度,结果表明该模型的拟合度良好(训练组:P=0.656;验证组:P=0.502)。校准曲线表明预测模型与实际观测结果有较好的一致性(图3);DCA显示当阈值概率大于0.1时,该模型预测净获益值较高,表明该列线图模型临床预测效能良好(图4)。
图1 预测BI-RADS 4类结节发生乳腺癌风险的列线图模型
图2 训练组和验证组列线图模型的受试者操作特征曲线 a、b图分别为训练组和验证组的受试者操作特征曲线
图3 训练组和验证组列线图模型的校准曲线 a、b图分别为训练组和验证组的校准曲线图。
图4 训练组和验证组列线图模型的临床决策曲线 a、b图分别为训练组和验证组的临床决策曲线

四、采用列线图预测模型进行随机验证

随机抽取分别诊断为良、恶性的BI-RADS 4A、4B、4C共6个结节进行模拟临床应用。抽取1号BI-RADS 4A患者,61岁女性,列线图预测模型计算总分为87分,恶性风险概率为25%,最终病理证实为乳腺腺病;2号BI-RADS 4A患者,58岁女性,列线图预测模型计算总分为140分,恶性风险概率为75%,最终病理证实为浸润性导管癌;抽取3号BI-RADS 4B患者,40岁女性,列线图预测模型计算总分为96分,恶性风险概率为35%,最终病理证实为导管内乳头状瘤;4号BI-RADS 4B患者,60岁女性,列线图预测模型计算总分为136分,恶性风险概率为72%,最终病理证实为导管内癌;抽取5号BI-RADS 4C患者,45岁女性,列线图预测模型计算总分为103分,恶性风险概率为40%,最终病理证实为导管内乳头状瘤;6号BI-RADS 4C患者,60岁女性,列线图预测模型计算总分为140分,恶性风险概率为75%,最终病理证实为浸润性小叶癌。

讨论

截至2022年,乳腺癌是全球妇女癌症相关死亡的主要原因之一[1,8]。超声是用于乳腺癌筛查和诊断最简便、高效、经济的工具[3],ACR BI-RADS提供了一种乳腺结节标准化的初步风险评估方法,其主要根据超声特征的数量来确定BI-RADS分类。然而,每个超声特征的实际权重并不一致,这可能导致部分结节分类并不准确,尤以BI-RADS 4类的结节最为明显。另外,该分类系统仅依赖于超声特征的数量叠加,缺乏临床特征支撑。如果以超声特征为基础,辅以部分易获取的临床特征,建立一种准确的风险预测模型,将对乳腺癌临床诊断非常有意义。
在本研究中,笔者基于易获取的临床数据和超声特征(如年龄、结节最大直径、形态、边界、钙化和内部血流)成功建立了一个列线图预测模型,该模型旨在预测BI-RADS 4类结节中乳腺癌的风险。先前的研究主要集中在BI-RADS 3~5类或4A类结节的乳腺癌预测模型开发[9,10,11,12]。根据第5版ACR BI-RADS[5],BI-RADS 3类病变被分类为良性,其恶性风险低于2%;相比之下,BI-RADS 5类结节被认为是高度恶性的,其恶性风险超过95%。对于3类和5类结节,临床医师更容易做出成功的判断。然而,BI-RADS 4类结节呈现出更广泛的风险谱,其良、恶性充满了较多的不确定性。本研究的独特之处就在于针对BI-RADS 4类结节建立预测模型,提供精准的、个性化的预测,降低不确定性。
年龄作为乳腺癌的一个重要危险因素备受关注[13]。本研究显示,预测分数和乳腺癌预测风险随患者年龄增加而上升,这与Mazouni等[14,15]的研究结果一致。绝经情况作为另一个潜在预测因素,在本研究的单因素和多因素分析结果中存在矛盾。分析本研究的数据发现,绝经前女性BI-RADS 4类乳腺结节的比例(222/377,58.9%)高于绝经后(155/377,41.1%),而这些结节中最终确诊为恶性的比例,绝经后(95/155, 61.3%)高于绝经前(60/155, 38.7%)。该结果符合临床规律,可能解释了绝经在单因素分析中为危险因素,而在多因素分析中却似乎为保护因素的原因。
乳腺结节伴钙化,尤其是微钙化,是乳腺癌的重要影像学特征[16]。同样,本研究结果表明钙化也是一个非常重要的独立预测因素,这与先前研究结果一致[11,12,15]。此外,笔者还注意到,BI-RADS 4类结节伴钙化将乳腺癌预测风险提高了2.43倍。形态不规则和边界不清晰也是本研究筛选出的独立预测因素,乳腺癌预测风险分别增加了1.96倍和2.22倍。乳腺结节的内部血流信号,尤其是高血流指数,也是高风险特征之一,与之前文献结果一致[17,18,19],在本研究中也作为独立预测因素参与构建预测模型。
本研究所建立的列线图模型通过将各个预测因素的分数相加,快速计算出乳腺癌的预测风险。总分越高,乳腺癌风险越高。该模型对于临床医师,尤其是经验不足的基层临床医师,能起到很好的辅助作用。没有太多临床知识的患者也可以根据超声特征判断自己罹患乳腺癌的风险,从而作出相应的选择。这种便捷的可视化风险评估方式让医患双方信息更加对称,能够促进医疗决策的精准性和个性化。此外,ROC曲线和校准曲线结果显示,该预测模型具有出色的预测和判别能力。基于该模型的临床应用在本研究中进行了展示,再次证实该模型简单易行,且具有较好的预测能力。当然,本研究也有不足之处。首先,回顾性研究无法排除选择偏倚。其次,训练组和验证组来自同一机构,没有进行多中心验证。因此,需要在未来进行前瞻性的多中心研究,以建立更敏感和特异的乳腺癌预测模型。
综上所述,针对BI-RADS 4类结节,我们筛选并确定了6个易于获取的临床和超声特征作为乳腺癌风险的独立预测因素,并基于这些独立预测因素构建了一个乳腺癌列线图预测模型。该预测模型直观且个性化,尤其适用于基层医疗机构中经验不足的临床医师,是一种方便、准确的临床工具。
[1]
Bray F, Laversanne M, Sung H, et al. Global cancer statistics 2022: GLOBOCAN estimates of incidence and mortality worldwide for 36 cancers in 185 countries [J]. CA Cancer J Clin202474(3):229-263.

[2]
Srivastava S, Koay EJ, Borowsky AD, et al. Cancer overdiagnosis: a biological challenge and clinical dilemma [J]. Nat Rev Cancer, 201919(6):349-358.

[3]
Xin Y, Zhang X, Yang Y, et al. A multicenter, hospital-based and non-inferiority study for diagnostic efficacy of automated whole breast ultrasound for breast cancer in China [J]. Sci Rep202111(1):13902.

[4]
Mendelson, EB, Böhm-Vélez MBerg WA. Breast imaging reporting and data system: ACR BI-RADS-breast imaging[M]. Reston, VA: American College of Radiology, 2003.

[5]
Mendelson EB, Böhm-Vélez M, Berg WA, et al. ACR BI-RADS Ultrasound[M]. Reston, VA: American College of Radiology,2013:149.

[6]
Bruening W, Fontanarosa J, Tipton K, et al. Systematic review: comparative effectiveness of core-needle and open surgical biopsy to diagnose breast lesions [J]. Ann Intern Med2010152(4):238-246.

[7]
Park HL, Hong J. Vacuum-assisted breast biopsy for breast cancer[J]. Gland Surg20143(2):120-127.

[8]
Lei S, Zheng R, Zhang S, et al. Global patterns of breast cancer incidence and mortality: a population-based cancer registry data analysis from 2000 to 2020 [J]. Cancer Commun (Lond)202141(11):1183-1194.

[9]
Luo WQ, Huang QX, Huang XW, et al. Predicting breast cancer in Breast Imaging Reporting and Data System (BI-RADS) ultrasound category 4 or 5 lesions: a nomogram combining radiomics and BI-RADS [J]. Sci Rep20199(1):11921.

[10]
Niu Z, Tian JW, Ran HT, et al. Risk-predicted dual nomograms consisting of clinical and ultrasound factors for downgrading BI-RADS category 4A breast lesions - a multiple centre study [J]. J Cancer202112(1):292-304.

[11]
Yang Y, Hu Y, Shen S, et al. A new nomogram for predicting the malignant diagnosis of Breast Imaging Reporting and Data System (BI-RADS) ultrasonography category 4A lesions in women with dense breast tissue in the diagnostic setting [J]. Quant Imaging Med Surg202111(7):3005-3017.

[12]
Zhou P, Jin C, Lu J, et al. Modified model for diagnosing Breast Imaging Reporting and Data System category 3 to 5 breast lesions: retrospective analysis and nomogram development [J]. J Ultrasound Med202140(1):151-161.

[13]
Nindrea RD, Aryandono T, Lazuardi L. Breast cancer risk from modifiable and non-modifiable risk factors among women in southeast Asia: a meta-analysis [J]. Asian Pac J Cancer Prev, 201718(12):3201-3206.

[14]
Mazouni C, Sneige N, Rouzier R, et al. A nomogram to predict for malignant diagnosis of BI-RADS category 4 breast lesions [J]. J Surg Oncol2010102(3):220-224.

[15]
Liang T, Cong S, Yi Z, et al. Ultrasound-based nomogram for distinguishing malignant tumors from nodular sclerosing adenoses in solid breast lesions [J]. J Ultrasound Med202140(10):2189-2200.

[16]
Tot T, Gere M, Hofmeyer S,et al. The clinical value of detecting microcalcifications on a mammogram [J]. Semin Cancer Biol202172:165-174.

[17]
Elverici E, Barça AN, Aktaş H, et al. Nonpalpable BI-RADS 4 breast lesions: sonographic findings and pathology correlation [J]. Diagn Interv Radiol, 201521(3):189-194.

[18]
Li T, Li Y, Yang Y, et al. Logistic regression analysis of ultrasound findings in predicting the malignant and benign phyllodes tumor of breast [J]. PLoS One, 202217(3):e0265952.

[19]
Rahbar G, Sie AC, Hansen GC, et al. Benign versus malignant solid breast masses: US differentiation [J]. Radiology, 1999213(3):889-894.

文章导航

/


AI


AI小编
你好!我是《中华医学电子期刊资源库》AI小编,有什么可以帮您的吗?